
土壤磷是植物生长和微生物活动所必需的养分之一,可与碳、氮耦合共同参与生物地球化学循环,土壤磷对于维持生态系统的服务、结构和功能至关重要,是近年来的研究热点之一。对于土壤磷动态及磷组分在生态系统中的转变及其调控机制可以为全球变化背景下磷循环的改变提供实验依据,也为生态系统中土壤碳氮磷循环的耦合提供参考信息。bat365中文官方网站程晓莉教授团队长期聚焦陆地生态系统土壤碳氮磷循环及其微生物机制的相关研究。近期围绕磷组分及磷循环的研究,该团队取得了系列研究进展。
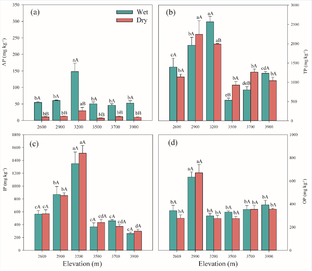
进展一(玉龙雪山土壤磷组分沿海拔分布格局及其控制因素):土壤磷是陆地生态系统中重要的生命元素,对陆地生态系统的稳定和可持续发展具有重要意义。但目前关于山地系统中不同土壤磷库在不同海拔中的季节变化特征及其调控机制的了解还相对较少。基于此,团队以云南玉龙雪山不同海拔高度(2600 m – 3900 m)土壤全磷、速效磷、无机磷、有机磷、活性磷、中活性磷和稳定磷的季节变化特征为研究对象,探究了叶片养分含量、土壤性质、微气候和微生物等因素对土壤磷库变化的调控作用。结果表明,由于中海拔地区(2900 m和3200 m)有着较活跃的微生物和适宜的土壤气候条件促进了磷的风化,导致该地区的土壤各种磷组分含量均最大。不同树种叶片磷含量与土壤速效磷库密切相关。夏季较高的土壤温度和微生物活性增加了土壤磷的矿化能力,导致夏季不同海拔土壤速效磷含量均显著高于冬季。土壤微生物磷、酸性磷酸酶和可溶性有机碳对土壤不同磷库的变化有着较强的影响,这为研究山地生态系统中不同土壤磷库变化对环境的响应提供了重要的理论依据。研究结果以“Elevational variation in soil phosphorus pools and controlling factors in alpine areas of Southwest China”为题发表在Geoderma(IF = 7.42,中科院一区)上。bat365中文官方网站已出站博士后李金升和已毕业硕士生吴宝云为论文共同第一作者,程晓莉教授为论文唯一通讯作者。原文链接:https://www.sciencedirect.com/science/article/pii/S0016706123000381?via%3Dihub

进展一:土壤磷组分沿海拔分布格局及其控制因素
进展二(玉龙雪山微生物相对碳磷限制沿海拔分布格局及其驱动因素):由于土壤酶活性及其化学计量特征可以用来反映了土壤微生物养分需求和代谢活性的变化,通常受土壤性质、养分和微生物的影响。研究团队基于进展一的研究成果,同时探索了沿海拔梯度微生物相对代谢限制的分布格局及其调控因素,以便更好的了解微生物资源限制对环境变化的响应。结果发现,湿季和干季微生物相对碳限制随海拔升高而降低,湿季时微生物相对磷限制随海拔升高而升高,旱季呈单峰趋势。这些结果表明,微生物在低海拔地区主要受能量限制(即相对碳限制),而在高海拔地区主要是养分限制(即相对磷限制)。此外,针叶林微生物相对碳限制较高,阔叶林土壤的相对磷限制较高,表明森林类型引起的土壤养分有效性变化是影响微生物相对资源限制的重要因素。研究结果以“Soil microbial relative resource limitation exhibited contrasting seasonal patterns along an elevational gradient in Yulong Snow Mountain.”为题发表在Functional Ecology(IF = 6.28,中科院一区)上。bat365中文官方网站已出站博士后张丹丹和已毕业硕士生吴宝云为论文共同第一作者,程晓莉教授为论文唯一通讯作者。原文链接:https://besjournals.onlinelibrary.wiley.com/doi/10.1111/1365-2435.14297

进展二:微生物相对碳磷限制沿海拔分布格局及其驱动因素
进展三(河岸带造林土壤磷组分的分布及其驱动机制):土壤磷不仅是植物生长必不可少的营养元素,同时也是农业活动产生的污染元素之一,河岸带植被在截留磷污染方面发挥着重要作用。然而,植树造林如何影响河岸带土壤磷组分及相关驱动机制仍不清楚。团队基于金沙江河岸带不同造林方式下土壤理化性质数据、微生物群落数据和土壤酶活数据,揭示了不同造林方式下土壤磷组分动态变化特征以及植物-土壤-微生物间的相互作用机制。结果发现,植树造林显著降低了有效磷、微生物生物量磷和活性磷组分,但中活性磷和稳定性磷在不同造林类型中没有明显差异。活性磷组分主要受生物因素(即微生物生物量、亮氨酸氨基肽酶)影响,而稳定磷组分则与非生物因素(即SOC、pH值、C:N)密切相关。表明造林有利于截留更多的活性磷组分,从而减少对河流的磷淋失。研究结果以“Divergent linkages of soil phosphorus fractions to edaphic properties following afforestation in the riparian zone of the upper Yangtze River, China”为题发表在Chemosphere(IF = 8.94,中科院二区)上。bat365中文官方网站博士后柏建坤和已毕业硕士生陈瑞为论文共同第一作者,程晓莉教授为唯一通讯作者。原文链接:https://www.sciencedirect.com/science/article/abs/pii/S0045653522039455?via%3Dihub

进展三:河岸带造林土壤磷组分的分布及其驱动机制
进展四(造林下凋落物和根磷损失在不同分解阶段的调控过程):土地利用变化通过改变地上和地下凋落物输入量和分解过程影响陆地生态系统碳、氮和磷动态,但这三者之间的关系及其影响机制仍存在很大的不确定性。基于此,研究团队选取丹江口库区三种不同土地利用类型(农田、灌丛和人工林)的地上和地下凋落物为实验材料,进行了为期2年的野外原位凋落物分解实验,评估凋落物形态,凋落物质量和微生物群落结构对不同类型凋落物叶和根在分解过程中磷损失的过程与机制。结果发现,凋落物叶磷损失主要受微生物影响,而根主要受形态影响。叶片形态和凋落物性质主导中后期叶磷分解,根系形态和凋落物性质主导前中期根磷分解。该研究揭示了凋落物叶和根系磷损失的不同调控机制,为准确估计植被周转率以应对未来造林提供了坚实的数据支持。研究结果以“Different regulation processes of litter phosphorus loss for leaf and root under subtropical afforestation”为题发表在Plant and Soil(IF = 4.99,中科院二区)上。bat365中文官方网站博士后廖畅和博士生隆春艳为论文共同第一作者,程晓莉教授为论文唯一通讯作者。原文链接:https://doi.org/10.1007/s11104-023-05884-0

进展四:凋落物和根磷损失在不同分解阶段的调控过程
进展五(造林下凋落物分解对土壤碳、氮、磷库的影响):基于进展四的研究结果,研究团队同时结合地上和地下凋落物产量监测数据,探讨了土地利用变化背景下,地上和地下凋落物分解与土壤C、N和P库的关系。结果发现,灌丛土壤全磷累积量在地上凋落物质量和微生物的调控下显著高于人工林和农田。人工林土壤全氮累积量在地下凋落物质量和微生物的介导下显著高于灌丛和农田。此外,人工林和灌丛通过增加细根来源的新有机碳输入量促进土壤有机碳的积累。表明地上和地下凋落物分解的变化是由凋落物、土壤和微生物性状的不同组合介导,这导致了土地利用变化后土壤碳氮磷积累的差异。研究结果以“Divergent controls on leaf and root litter decay linking to soil C, N, and P pools under a subtropical land-use change”为题发表在Ecosystems(IF = 4.35,中科院二区)上,bat365中文官方网站博士生隆春艳为论文第一作者,程晓莉教授为论文唯一通讯作者。原文链接:https://doi.org/10.1007/s10021-023-00827-3

进展五:凋落物分解对土壤碳、氮、磷库的影响
进展六(造林下土壤反硝化的驱动机制):由于营养元素(氮、磷)之间耦合关系,氮循环在陆地生态系统中同样具有重要意义,然而土地利用变化下土壤反硝化速率和微生物功能之间的内在机制尚不清楚。团队基于丹江口库区三种典型土地利用方式为研究对象,通过田间试验,探究了不同土地利用类型在不同季节(夏季和冬季)土壤反硝化速率、反硝化基因nirS、nirK和nosZ的丰度和多样性。结果发现,土壤反硝化速率在农田最高,人工林最低。农田和人工林的土壤反硝化酶活性均高于灌丛。夏季的反硝化速率和反硝化酶活性均低于冬季。土壤水分、土壤有机碳和NO3--N浓度是不同土地利用类型间调控土壤反硝化作用的主要因子。土壤水分和反硝化功能基因是季节间土壤反硝化作用之间产生差异的主要调控因子。研究结果以“Stronger effects of environmental factors than denitrifying genes on soil denitrification under a subtropical land use change”为题发表在Catena(IF = 6.37,中科院一区)上,bat365中文官方网站已毕业博士生陈琼为第一作者,程晓莉教授为论文唯一通讯作者。原文链接:https://www.sciencedirect.com/science/article/abs/pii/S0341816222008621?via%3Dihub

进展六:造林下土壤反硝化的驱动机制
以上研究均得到国家自然科学基金(32130069)和中科院战略先导专项A(XDA26010102)等项目的资助。