欢迎访问bat365中文官方网站网站! bat365中文官方网站官方网站
科研进展
科研进展
当前位置:
bat365中文官方网站王毅团队在入侵植物应对环境胁迫适应机制方面取得系列进展
作者: 来源: 发布时间 : 2022-03-21 09:47:20 点击量:

外来物种的入侵会破坏入侵地的生态系统平衡,物种是如何实现成功入侵的一直是生态学家和环境保护者关注的热点。解释外来物种成功入侵的假说有很多,诸如:天敌释放假说、竞争力增强进化假说、新武器假说等。但是因为物种和环境的多样性,这些假说并不具有普适性。王毅团队以入侵植物紫茎泽兰和美洲商陆为研究材料,探究入侵物种对环境压力的适应性机制,近期取得了系列研究进展。

成果一:

入侵植物能迅速适应各种环境条件,但长期处于环境压力胁迫下,可能会影响入侵植物的形态特征和遗传特征,并使其对特定胁迫具有更大的耐受性。但是只有少数研究关注入侵物种在入侵成功后的进化潜力。重金属会引起植物的生理和代谢应激反应,特别是在植物的萌发和幼苗生长阶段。尽管如此,许多入侵植物对高浓度金属仍然具有高度耐受性,它们在污染严重的栖息地表现得比土著植物更好。

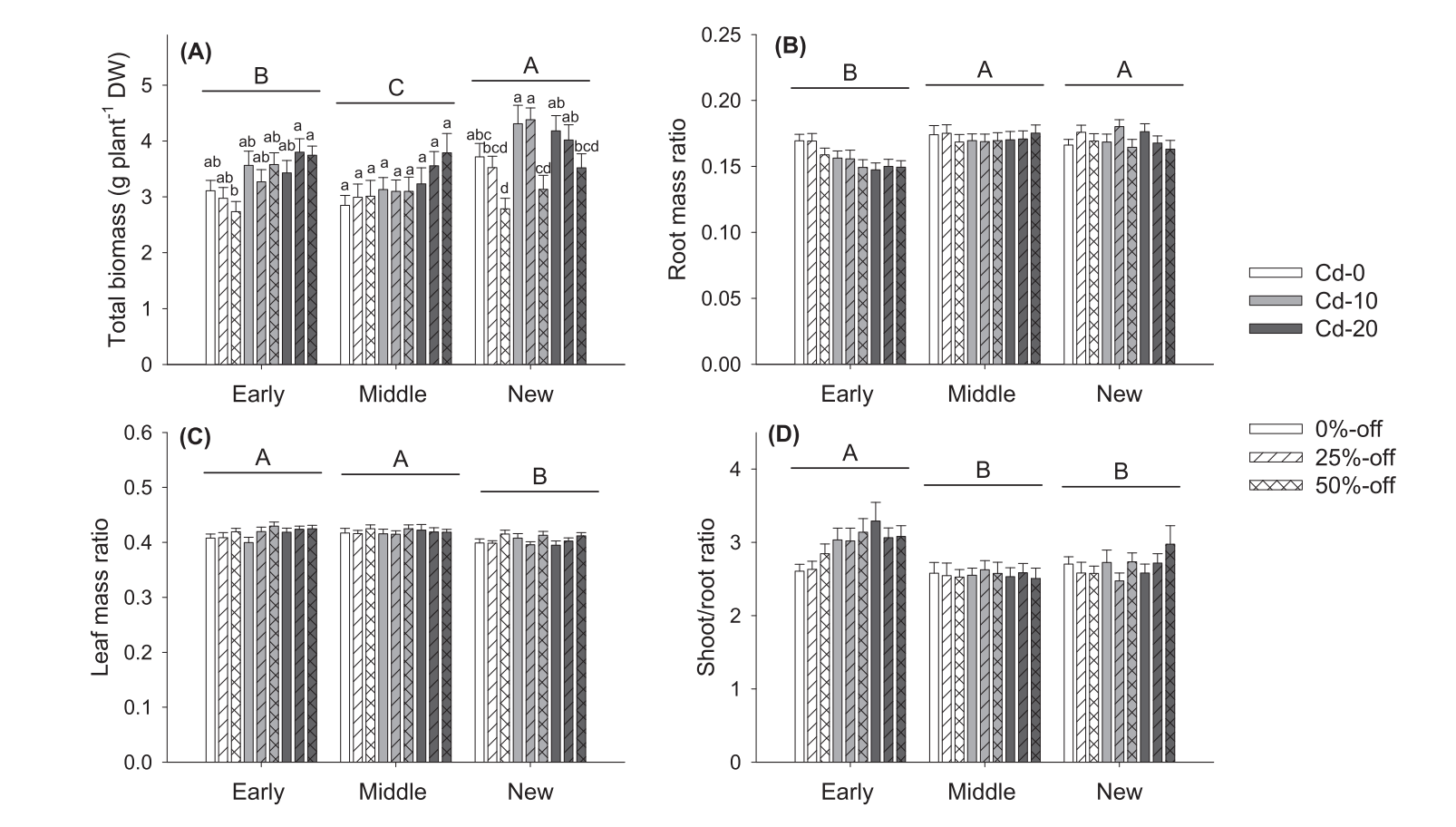
该团队研究了镉 (Cd) 对入侵植物紫茎泽兰的萌发和幼苗生长的影响。种子是从具有不同的入侵历史种群中收集的。在重金属和模拟食草动物下测试植物性能以检查紫茎泽兰在不同选择压力下的进化。研究发现,入侵历史越久的紫茎泽兰种群比新阶段入侵种群具有较高的发芽能力,但是其幼苗生长能力较弱。与新入侵种群相比,早期入侵的种群更加耐受模拟取食的压力,并且在高镉胁迫下萌发潜力较高。它的适应策略似乎是在入侵初期投入更多的能量用于生长,随着时间的推移,选择压力增加,更多的能量似乎被用于种子质量的改善以及营养生长系统,从而提高其对环境压力的耐受性。本研究强调在探索物种的入侵和进化潜力时,考虑物种的入侵历史是很重要的。研究结果以“The rapid evolution of an invasive plant due to increased selection pressures throughout its invasive history”为题发表于Ecotoxicology and Environmental Safety (https://doi.org/10.1016/j.ecoenv.2022.113322IF6.291)18级硕士研究生龚文衡为论文第一作者,王毅副研究员为通讯作者。

EE865511F1BA14F3D686EDF52DF_C4EFC534_428E1.png

不同的镉浓度以及模拟取食处理对不同入侵历史的紫茎泽兰的生长性状影响


成果二:

在植物的生长环境中,遮荫胁迫不可避免,该团队人员在野外观察到,入侵物种美洲商陆可以在不同强度光环境下生长,这表明其具有较宽的光资源生态位,并且预测它在光资源不足时会表现出耐受性和抗性的权衡,这可能是其成功入侵的促进因子之一。

该团队设计了一个同质园试验,研究了遮荫处理对入侵植物美洲商陆的生长特性、生物量分配和次生化学物质的影响,并且与其非入侵同属物种进行对比。结果表明,入侵物种在弱光条件下生长得更好。例如,其株高、总生物量最高并且其根冠比最大。而且,只有入侵物种在弱光下开花,这表明入侵物种在弱光下具有较强的繁殖能力。此外,从光照到遮荫,入侵物种各部分生物量减少最小,说明入侵物种受遮荫环境的影响最小。与其同属物种相比,美洲商陆使用更少的资源来防御,更多的资源用于生长和繁殖。这些结果表明,美洲商陆比其同属物种具有更强的耐荫性。当光资源不足时,次生代谢物与生长之间存在着权衡。研究结果以 “Trade-off between shade tolerance and chemical resistance of invasive Phytolacca americana under different light levels compared with its native and exotic non-invasive congeners” 为题发表于Environmental and Experimental Botany (https://doi.org/10.1016/j.envexpbot.2022.104809IF5.545)20级硕士研究生肖凤为论文第一作者,王毅副研究员为通讯作者。

465896EEBAC1B844AF85E7EABA5_2F7B4300_D27BB.png

三种用于实验的商陆(从左至右:本地物种-商陆,外来物种-二十蕊商陆,入侵物种-美洲商陆)的形态特征

431873F01F6F4A2EBFA0C9E6F7D_DDB86E44_3E420.png

在遮荫下物种生长与防御之间的权衡

成果三:

入侵植物通常对共生的本地植物物种的生长构成巨大威胁。确定有利于外来植物入侵和导致本地物种衰退的关键环境因子至关重要。本研究中,我们分析了入侵植物美洲商陆挥发物(VOCs)、光照强度对本地商陆生长和繁殖的影响。研究结果表明美洲商陆挥发性物质和光照强度对本地商陆有显著影响,相反的是,本地商陆的挥发性物质对入侵植物美洲商陆没有显著影响。本地植物对入侵植物挥发性物质的反应更敏感,对挥发性物质的不对称反应强度导致了入侵植物的竞争优势。研究结果以“Effect of plant VOCs and light intensity on growth and reproduction performance of an invasive and a native Phytolacca species in China”为题,发表在Ecology and Evolution (https://doi.org/10.1002/ece3.8522IF2.912),博士后刘丹凤为论文第一作者,王毅副研究员为通讯作者。

2C03545E71F3220537FFE48394B_D93B16EA_54DA6.png

美洲商陆与本地商陆对挥发性物质(VOCs)和光照的反应

相关工作得到NSFC-云南联合基金重点项目(U2102218),国家重点研发计划生物安全专项(2017YFC1200102),国家自然科学基金面上项(31870362),bat365中文官方网站国家杰(优)青培育项目以及云南省植物繁殖适应与进化生态学重点实验室联合资助。


回到顶部